自适应调制和编码(AMC)是现代无线通信系统(包括5G)的基础技术,能够实现高效可靠的数据传输。通过动态调整调制方案和编码速率以响应信道条件变化,AMC 能够提升数据吞吐量,并确保在干扰和噪声环境中仍保持稳健性能。


与采用固定调制编码设置的静态传输方案不同,AMC 能够根据实时链路质量动态调整这些参数。这种适应性在移动环境中尤为重要——由于用户移动、干扰和物理障碍等因素,信道条件往往会发生动态变化。
无线通信中 AMC 的演变
AMC 技术随着无线通信发展不断演进。最初为可靠性要求极高的军事应用开发的自适应技术,后来被引入商业无线网络。随着1990年代数字蜂窝网络的出现,AMC 逐渐成为移动通信不可或缺的组成部分,并历经多代技术演进:
2G(GSM):引入基础的自适应编码技术;
3G(UMTS):采用增强型AMC并支持高阶调制;
4G(LTE):集成复杂AMC算法与OFDMA资源分配;
5G(NR):通过大规模MIMO和波束赋形实现动态信道自适应.
AMC 始终是高速、高可靠无线通信的核心使能技术,确保不同网络条件下的数据传输保持高效可靠。根据SNR切换调制的概念称为自适应调制
我们考虑AWGN信道模型:
y = x + n
SNR = 信号功率 / 噪声功率:

该信道的信道容量为:


在SNR=9dB时可实现3bps/Hz的容量;
在SNR=15dB时可实现5bps/Hz的容量.
我们选取以下SNR值:
-10dB、0dB、3dB、6dB、9dB、12dB、15dB和20dB
使用以下公式计算容量:

并特别标注以下关键点:
在SNR=9dB时实现3bps/Hz容量;
在SNR=15dB时实现5bps/Hz容量.

该图表展示了SNR(单位:dB)与容量(单位:bps/Hz)之间的关系,特别标出在9dB和15dB时分别达到3bps/Hz和5bps/Hz的容量点。
AMC在5G中的实际应用
5G系统采用多种调制方案,如正交幅度调制(QAM)。QAM的阶数(记为M)决定了符号数量和比特率:
4-QAM(QPSK);
16-QAM;
64-QAM;
256-QAM.
高阶QAM方案每个符号可传输更多比特,但需要更高的SNR来维持可靠通信。
下图表展示了不同SNR值及其对应容量下自适应调制和编码(AMC)的工作状态。

为更完整地描述AMC环境中SNR与容量的关系,我们可扩展图表信息并引入多种调制方案,以说明不同SNR值对容量和调制方案选择的影响:
4-QAM:
SNR=5dB,容量=2bps/Hz;
16-QAM:
SNR=12dB,容量=4bps/Hz;
64-QAM:
SNR=18dB,容量=6bps/Hz;
256-QAM:
SNR=24dB,容量=8bps/Hz.
扩展后的图表可更清晰地展示不同SNR值对应的AMC参数选择:
1. 4-QAM
SNR=5dB:在此信噪比下,系统可实现2bps/Hz容量。该调制方案因抗噪性强,适用于低SNR场景。
2. 16-QAM
SNR=12dB:当SNR提升至12dB时,可采用16-QAM实现4bps/Hz容量。相比4-QAM,该方案在保证信号质量前提下提升了数据速率。
3. 64-QAM
SNR=18dB:在18dB SNR条件下,64-QAM可提供6bps/Hz容量。这种高阶调制需要更优的信道条件支持。
4. 256-QAM
SNR=24dB:在极佳信道条件(24dB SNR)下,256-QAM可实现8bps/Hz容量。该方案虽高效,但对信号质量要求严苛。
AMC机制:通过实时监测SNR动态调整调制方案,在保证通信可靠性的同时优化数据速率。
技术特性:
速率与质量的权衡:高阶调制(如64/256-QAM)虽提升速率但需要更高SNR;
环境适应性:AMC赋予系统动态适应信道变化的能力,确保最优性能。
编码技术
前向纠错(FEC)码(如低密度奇偶校验LDPC码)通过添加冗余位提升传输可靠性。
编码率(r)定义为:

r = k/n
k:原始信息位数;
n:编码后总位数(含冗余).
若编码率始终≤1,较低速率意味着更强纠错能力。编码器通过添加奇偶校验位来降低误块率(BLER),通常需要较大码块长度以保证低BLER。
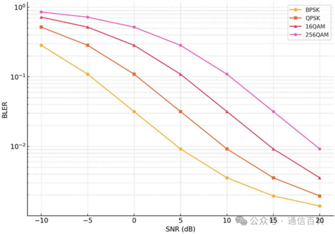
SNR对LDPC码性能的影响
LDPC码作为现代通信系统(无线/光纤)的主流FEC方案,具有接近香农限的优异性能。其在合理码长下可通过SNR与容量曲线的适度偏移实现低BLER。
采用码长N=3000的LDPC码;
绘制BPSK/QPSK/16QAM/256QAM在不同SNR(-10dB~20dB)下的BLER曲线;
设定目标BLER为10^-3。
如下图表展示出 LDPC 代码在具有不同调制方案的各种 SNR 下实现接近容量速率,同时保持低误码率方面的表现。

图表说明:
横轴:SNR(-10dB~20dB);
纵轴:BLER(对数坐标);
趋势:调制阶数越高,实现相同BLER所需SNR越大;
LDPC码在高SNR区域表现尤为突出,能逼近理论容量极限。
该图表展示了LDPC码在不同调制方案和SNR环境下的性能表现,体现了通信系统在速率与可靠性之间的优化选择。